Tetrahedrane
![]() | |
| Names | |
|---|---|
| Preferred IUPAC name Tricyclo[1.1.0.02,4]butane | |
| Identifiers | |
3D model (JSmol) | |
| 2035811 | |
| ChEBI | |
| ChemSpider | |
PubChem CID | |
CompTox Dashboard (EPA) | |
| |
| |
| Properties | |
| C4H4 | |
| Molar mass | 52.076 g·mol−1 |
Except where otherwise noted, data are given for materials in their standard state (at 25 °C [77 °F], 100 kPa). Infobox references | |
Tetrahedrane is a hypothetical platonic hydrocarbon with chemical formula C4H4 and a tetrahedral structure. The molecule would be subject to considerable angle strain and has not been synthesized as of 2023. However, a number of derivatives have been prepared. In a more general sense, the term tetrahedranes is used to describe a class of molecules and ions with related structure, e.g. white phosphorus.
C4 tetrahedranes
Tetrahedrane (C4H4) is one of the possible platonic hydrocarbons and has the IUPAC name tricyclo[1.1.0.02,4]butane.
Unsubstituted tetrahedrane remains elusive, although predicted kinetically stable. One strategy that has been explored (but thus far failed) is reaction of propene with atomic carbon.[1]
Contrariwise, several organic compounds with the tetrahedrane core are known. All have multiply bulky substituents, tert-butyl (t-Bu) or larger.[2] Locking a tetrahedrane molecule inside a fullerene has only been attempted in silico.[3]
All known syntheses have relied on rearrangement from another unstable moiety. In Maier's original synthesis, photochemical cheletropic decarbonylation converts a cyclopentadienone to the tetrahedrane.[2] In a later synthesis, irradiation directly converted a cyclobutadiene to tetrahedrane.[4] And more recently, single-electron oxidation can induce a radical chain isomerization with the same effect.[5]
Tetrahedrane with small substituents would have a variety of interesting properties. Due to its bond strain and stoichiometry, tetranitrotetrahedrane has potential as a high-performance energetic material (explosive).[6]
Calculations suggest that tetrahedrane's molecular strain reduces if slightly-flexible diyne spacers separate the vertices.[7]
Tetra-tert-butyltetrahedrane
In 1978, Günther Maier first prepared tetra-tert-butyl-tetrahedrane,[2] with a deceptively short and simple synthesis that required "astonishing persistence and experimental skill".[8] "The relatively straightforward scheme shown [...] conceals both the limited availability of the starting material and the enormous amount of work required in establishing the proper conditions for each step."[9] In Maier's own account, it took several years of careful observation and optimization to develop the correct conditions for the reactions. For instance, the synthesis of tetrakis(t-butyl)cyclopentadienone from the tris(t-butyl)bromocyclopentadienone (itself synthesized with much difficulty) required over 50 attempts before working conditions could be found.[10]
Maier began with cycloaddition of an alkyne to t-Bu substituted maleic anhydride.[11] Rearrangement and decarboxylation gave a corset-stabilized cyclopentadienone. To add the fourth t-Bu group, Maier brominated the only labile hydrogen to give an electrophile that coupled directly to tert-butyllithium. Photochemical cheletropic decarbonylation then gave the target.

Tetra-tert-butyl-tetrahedrane synthesis 1978
Heating tetra-tert-butyltetrahedrane gives tetra-tert-butylcyclobutadiene. The reversibility of this rearrangement proved key to developing a more scalable synthesis. In the last step, photolysis of a cyclopropenyl-substituted diazomethane affords the desired product through a tetrakis(tert-butyl)cyclobutadiene intermediate:[4][12]

Tetra-tert-butyl-tetrahedrane synthesis 1991
Trimethylsilyl tetrahedranes

Tetrakis(trimethylsilyl)tetrahedrane can be prepared by treatment of the cyclobutadiene precursor with tris(pentafluorophenyl)borane[5] and is far more stable than the tert-butyl analogue. The silicon–carbon bond is longer than a carbon–carbon bond, and therefore the corset effect is reduced.[13] Whereas the tert-butyl tetrahedrane melts at 135 °C concomitant with rearrangement to the cyclobutadiene, tetrakis(trimethylsilyl)tetrahedrane, which melts at 202 °C, is stable up to 300 °C, at which point it cracks to bis(trimethylsilyl)acetylene.
The tetrahedrane skeleton is made up of banana bonds, and hence the carbon atoms are high in s-orbital character. From NMR, sp-hybridization can be deduced, normally reserved for triple bonds. As a consequence the bond lengths are unusually short with 152 picometers.
Reaction with methyllithium with tetrakis(trimethylsilyl)tetrahedrane yields tetrahedranyllithium.[14] The lithium compound can then couple to electrophiles, even relatively small ones.[15][16][17]
A bis(tetrahedrane) has also been reported.[18] The connecting bond is even shorter with 143.6 pm. An ordinary carbon–carbon bond has a length of 154 pm.

Synthesis of tetrakis(trimethylsilyl)tetrahedrane and its dimer.
Tetrahedranes with non-carbon core atoms

The tetrahedrane motif occurs broadly in chemistry. White phosphorus (P4) and yellow arsenic (As4) naturally form tetrahedrane-like clusters. There are a wide variety of synthetic pnictogen-substituted tetrahedranes, and metallatetrahedranes with a single metal (or phosphorus atom) capping a cyclopropyl trianion also exist.[20] Several metal carbonyl clusters are referred to as tetrahedranes, e.g. tetrarhodium dodecacarbonyl.

Metal clusters that have tetrahedral cores are often called tetrahedranes.
Silicon also can be induced to form a tetrahedral core,[21] but heavier adamantogens tend to form cubane-like clusters.
Tetrasilatetrahedrane
In tetrasilatetrahedrane features a core of four silicon atoms. The standard silicon–silicon bond is much longer (235 pm) and the cage is again enveloped by a total of 16 trimethylsilyl groups, which confer stability. The silatetrahedrane can be reduced with potassium graphite to the tetrasilatetrahedranide potassium derivative. In this compound one of the silicon atoms of the cage has lost a silyl substituent and carries a negative charge. The potassium cation can be sequestered by a crown ether, and in the resulting complex potassium and the silyl anion are separated by a distance of 885 pm. One of the Si−–Si bonds is now 272 pm and the tetravalent silicon atom of that bond has an inverted tetrahedral geometry. Furthermore, the four cage silicon atoms are equivalent on the NMR timescale due to migrations of the silyl substituents over the cage.[21]

Tetrasilatetrahedrane
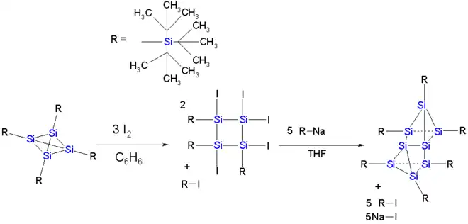
The dimerization reaction observed for the carbon tetrahedrane compound is also attempted for a tetrasilatetrahedrane.[22] In this tetrahedrane the cage is protected by four so-called supersilyl groups in which a silicon atom has 3 tert-butyl substituents. The dimer does not materialize but a reaction with iodine in benzene followed by reaction with the tri-tert-butylsilaanion results in the formation of an eight-membered silicon cluster compound which can be described as a Si2 dumbbell (length 229 pm and with inversion of tetrahedral geometry) sandwiched between two almost-parallel Si3 rings.

Silicon cluster compound
See also
References
- ^ Nemirowski, Adelina; Reisenauer, Hans Peter; Schreiner, Peter R. (2006). "Tetrahedrane—Dossier of an Unknown". Chem. Eur. J. 12 (28): 7411–7420. doi:10.1002/chem.200600451. PMID 16933255.
- ^ a b c Maier, G.; Pfriem, S.; Schäfer, U.; Matusch, R. (1978). "Tetra-tert-butyltetrahedrane". Angew. Chem. Int. Ed. Engl. 17 (7): 520–521. doi:10.1002/anie.197805201.
- ^ Ren, Xiao-Yuan; Jiang, Cai-Ying; Wang, Jiang; Liu, Zi-Yang (2008). "Endohedral complex of fullerene C60 with tetrahedrane, C4H4@C60". J. Mol. Graph. Model. 27 (4): 558–562. doi:10.1016/j.jmgm.2008.09.010. PMID 18993098.
- ^ a b Maier, Günther; Fleischer, Frank (1991-01-01). "Ein alternativer zugang zum tetra-tert-butyltetrahedran". Tetrahedron Letters (in German). 32 (1): 57–60. doi:10.1016/S0040-4039(00)71217-2. ISSN 0040-4039.
- ^ a b Nakamoto, M.; Inagaki, Y.; Ochiai, T.; Tanaka, M.; Sekiguchi, A. (2011). "Cyclobutadiene to tetrahedrane: Valence isomerization induced by one-electron oxidation". Heteroatom Chemistry. 22 (3–4): 412–416. doi:10.1002/hc.20699.
- ^ Zhou, Ge; Zhang, Jing-Lai; Wong, Ning-Bew; Tian, Anmin (2004). "Computational studies on a kind of novel energetic materials tetrahedrane and nitro derivatives". Journal of Molecular Structure: Theochem. 668 (2–3): 189–195. doi:10.1016/j.theochem.2003.10.054.
- ^ Jarowski, Peter D.; Diederich, Francois; Houk, Kendall N. (2005). "Structures and Stabilities of Diacetylene-Expanded Polyhedranes by Quantum Mechanics and Molecular Mechanics". Journal of Organic Chemistry. 70 (5): 1671–1678. doi:10.1021/jo0479819. PMID 15730286.
- ^ Lewars, Errol. (2008). Modeling marvels : computational anticipation of novel molecules. [Dordrecht]: Springer. ISBN 978-1-4020-6973-4. OCLC 314371890.
- ^ Eliel, Ernest L. (Ernest Ludwig), 1921-2008. (1994). Stereochemistry of organic compounds. Wilen, Samuel H., Mander, Lewis N. New York: Wiley. ISBN 0-471-01670-5. OCLC 27642721.
{{cite book}}: CS1 maint: multiple names: authors list (link) CS1 maint: numeric names: authors list (link) - ^ Maier, Günther; Pfriem, Stephan; Schäfer, Ulrich; Malsch, Klaus-Dieter; Matusch, Rudolf (December 1981). "Kleine Ringe, 38: Tetra-tert-butyltetrahedran". Chemische Berichte (in German). 114 (12): 3965–3987. doi:10.1002/cber.19811141218.
- ^ Maier, Günther; Boßlet, Friedrich (1972). "tert-Butyl-substituierte cyclobutadiene und cyclopentadienone" [tert-Butyl-substituted cyclobutadienes and cyclopentadienones]. Tetrahedron Letters. 13 (11): 1025–1030. doi:10.1016/S0040-4039(01)84500-7.
- ^ Rubin, M.; Rubina, M.; Gevorgyan, V. (2006). "Recent Advances in Cyclopropene Chemistry". Synthesis. 2006 (8): 1221–1245. doi:10.1055/s-2006-926404.
- ^ Maier, Günther; Neudert, Jörg; Wolf, Oliver; Pappusch, Dirk; Sekiguchi, Akira; Tanaka, Masanobu; Matsuo, Tsukasa (2002). "Tetrakis(trimethylsilyl)tetrahedrane". J. Am. Chem. Soc. 124 (46): 13819–13826. doi:10.1021/ja020863n. PMID 12431112.
- ^ Sekiguchi, Akira; Tanaka, Masanobu (2003). "Tetrahedranyllithium: Synthesis, Characterization, and Reactivity". J. Am. Chem. Soc. 125 (42): 12684–5. doi:10.1021/ja030476t. PMID 14558797.
- ^ Nakamoto, Masaaki; Inagaki, Yusuke; Nishina, Motoaki; Sekiguchi, Akira (2009). "Perfluoroaryltetrahedranes: Tetrahedranes with Extended σ−π Conjugation". J. Am. Chem. Soc. 131 (9): 3172–3. doi:10.1021/ja810055w. PMID 19226138.
- ^ Ochiai, Tatsumi; Nakamoto, Masaaki; Inagaki, Yusuke; Sekiguchi, Akira (2011). "Sulfur-Substituted Tetrahedranes". J. Am. Chem. Soc. 133 (30): 11504–7. doi:10.1021/ja205361a. PMID 21728313.
- ^ Kobayashi, Y.; Nakamoto, M.; Inagaki, Y.; Sekiguchi, A. (2013). "Cross-Coupling Reaction of a Highly Strained Molecule: Synthesis of σ–π Conjugated Tetrahedranes". Angew. Chem. Int. Ed. 52 (41): 10740–10744. doi:10.1002/anie.201304770. PMID 24038655. S2CID 30151404.
- ^ Tanaka, M.; Sekiguchi, A. (2005). "Hexakis(trimethylsilyl)tetrahedranyltetrahedrane". Angew. Chem. Int. Ed. 44 (36): 5821–5823. doi:10.1002/anie.200501605. PMID 16041816.
- ^ Uhl, Werner; Graupner, Rene; Layh, Marcus; Schütz, Uwe (1995). "In4{C(SiMe3)3}4 mit In4-tetraeder und In4Se4{C(SiMe3)3}4 mit In4Se4-heterocubanstruktur". Journal of Organometallic Chemistry. 493 (1–2): C1 – C5. doi:10.1016/0022-328X(95)05399-A.
- ^
- Organometallics 2019, 38, 21, 4054–4059.
- Organometallics 1984, 3, 1574−1583.
- Organometallics 1986, 5, 25−33.
- J. Am. Chem. Soc. 1984, 106, 3356−3357.
- J. Chem. Soc., Chem. Commun. 1984, 485−486.
- Science Advances 25 Mar 2020: Vol. 6, no. 13, doi:10.1126/sciadv.aaz3168
- ^ a b Ichinohe, Masaaki; Toyoshima, Masafumi; Kinjo, Rei; Sekiguchi, Akira (2003). "Tetrasilatetrahedranide: A Silicon Cage Anion". J. Am. Chem. Soc. 125 (44): 13328–13329. doi:10.1021/ja0305050. PMID 14583007.
- ^ Fischer, G.; Huch, V.; Mayer, P.; Vasisht, S. K.; Veith, M.; Wiberg, N. (2005). "Si8(SitBu3)6: A Hitherto Unknown Cluster Structure in Silicon Chemistry". Angewandte Chemie International Edition. 44 (48): 7884–7887. doi:10.1002/anie.200501289. PMID 16287188.
