Isofuran

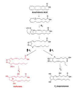
Isofurans are a family of organic compounds termed nonclassic eicosanoids.[1] They arise nonenzymatically by free radical peroxidation of arachidonic acid. The isofurans are similar to the isoprostanes and are formed under similar conditions, but contain a substituted tetrahydrofuran ring. The concentration of oxygen affects this process; at elevated oxygen concentrations, the formation of isofurans is favored whereas the formation of isoprostanes is disfavored.[2][3]
Angiogenic potential
Isofurans have also be found to have pro-angiogenic potential. Studies analyzing the affects of isofurans on rat brain endothelial cells (RBECs) show that they induce the growth of new blood vessels through promotion of endothelial cell proliferation, migration and cellular protection. Additionally, they have been found to play a role in the regulation of other pro-angiogenic signaling factors in RBECs.[4]
Role in blood storage and transfusion
Isofurans, alongside F2-isoprostanes, accumulate in stored red blood cells (RBCs) as products of lipid peroxidation. These bioactive lipids impair platelet (PLT) function in vitro and may contribute to adverse transfusion outcomes. Elevated levels of these compounds, along with cell-free hemoglobin—which inhibits platelet spreading and may interfere with wound healing and angiogenic processes—have been proposed as biomarkers for evaluating the quality of blood components. Post-storage washing of RBCs reduces the concentration of these mediators and may help lower the risk of transfusion-related complications.[5]
References
- ^ Jahn, Ullrich; Galano, Jean-Marie; Durand, Thierry (2008). "Beyond Prostaglandins—Chemistry and Biology of Cyclic Oxygenated Metabolites Formed by Free-Radical Pathways from Polyunsaturated Fatty Acids". Angewandte Chemie International Edition. 47 (32): 5894–5955. doi:10.1002/anie.200705122. PMID 18649300.
- ^ Roberts, L. Jackson; Fessel, Joshua P.; Davies, Sean S. (2006-04-05). "The Biochemistry of the Isoprostane, Neuroprostane, and Isofuran Pathways of Lipid Peroxidation". Brain Pathology. 15 (2): 143–148. doi:10.1111/j.1750-3639.2005.tb00511.x. ISSN 1015-6305. PMC 8095955. PMID 15912887.
- ^ Roberts, LJ 2nd and Fessel, JP (Mar 2004). "The biochemistry of the isoprostane, neuroprostane, and isofuran pathways of lipid peroxidation". Chem Phys Lipids. 128 (1–2): 173–86. doi:10.1016/j.chemphyslip.2003.09.016. PMID 15037162.
{{cite journal}}: CS1 maint: multiple names: authors list (link) CS1 maint: numeric names: authors list (link) - ^ Zhang, Jingxia; Wang, Xiangjiang; Lin, Zhiping; Zhu, Tang (November 2022). "Pro-angiogenic activity of isofuran". Bioscience, Biotechnology, and Biochemistry. 86 (11): 1506–1514. PMID 36066914.
- ^ Cuyamendous, Claire; de la Torre, Aurélien; Lee, Yiu Yiu; Leung, Kin Sum; Guy, Alexandre; Bultel-Poncé, Valérie; Galano, Jean-Marie; Lee, Jetty Chung-Yung; Oger, Camille; Durand, Thierry (Nov 2016). "The novelty of phytofurans, isofurans, dihomo-isofurans and neurofurans: Discovery, synthesis and potential application". Biochimie. 130: 49–62. PMID 27519299.