Paper chemicals

Paper chemicals designate a group of chemicals that are used for paper manufacturing, or modify the properties of paper. These chemicals can be used to alter the paper in many ways, including changing its color and brightness, or by increasing its strength and resistance to water.[1] The chemicals can be defined on basis of their usage in the process.

Chemical usage is not only for imparting properties to paper but to handle the water cycles in the process, conditioning of fabrics, cleaning of equipment and several other applications.

Sulfite pulp mill discharging wastewater in 2011

Chemicals used in paper manufacturing

Common name Scientific name Chemical formula Notes
Alum "Sulfate of alumina" Al2(SO4)3 · 18 H2O For alkaline sizing along with rosin
Albarine "Calcium sulfate" CaSO4 · 2 H2O Building materials
Chlorine dioxide Chlorine dioxide ClO2 Pulp bleaching
Chlorine Chlorine Cl2 Pulp bleaching
Dolomite Calcium magnesium carbonate CaMg(CO3)2 Filler, Coating
DTPA Diethylenetriaminepentaacetic acid C14H33N3O10 Used for chelation (removal of transition metals from pulp).
EDTA Ethylenediaminetetraacetic acid C10H16N2O8 Used for chelation (removal of transition metals from pulp).
Enzyme Used in deinking
FSA Formamidine Sulfuric acid or Thiourea dioxide CH4N2SO2 Post deinking bleaching
Guar gum Natural polymer; no systematic name Dry strength additive
Gypsum or mineral white or plaster Calcium sulfate Ca SO4 · 2 H2O Gypsum board
Hydrogen peroxide Hydrogen peroxide H2O2 In pulp bleaching
Hypochlorous acid Hypochlorous acid HOCl In pulp bleaching
Lime Calcium oxide CaO Alkaline pulping process chemical recovery, bleaching
Limestone Calcium carbonate CaCO3 To make precipitated CaCO3, is used as filler and in coating
Magnesium bisulfite Magnesium bisulfite Mg(HSO3)2 Used in sulfite pulping
Magnesite Magnesium carbonate MgCO3 -100% Filler for cigarette paper
Milk of Lime Calcium hydroxide Ca(OH)2 For causticizing of green liquor
Milk of Magnesia Magnesium hydroxide Mg(OH)2  
Oxygen Oxygen O2 In pulp bleaching
Ozone Ozone O3 In pulp bleaching
Rosin Abietic acid C19H29COOH Sizing
Rosin Soap Sodium abietate C19H29COONa Sizing
Salt Cake Sodium sulfate Na2SO410H2O Makeup chemical in sulfate pulping chemical recovery (Na2SO4. ---Na2S)
Soap / fatty acid Deinking
Sodium bisulfite Sodium bisulfite NaHSO3 Used in sulfite pulping
Soda ash Sodium carbonate Na2CO3 Makeup chemical in alkaline pulping chemical recovery (Na2CO3+Ca(OH)2---2NaOH+CaCO3)
Sodium aluminate Sodium aluminate Na2Al2O4 Used in conjunction with alum to control pH
Sodium bisulfite Sodium bisulfite NaHSO3 An acid type cooking liquor chemical component sometimes used to neutralized residual chlorine in the pulp during the bleaching process.
Sodium chlorate Sodium chlorate NaClO3 Used to generate Chlorine Dioxide
Sodium dithionite Sodium hydrosulfite Na2S2O4 Bleaching
Sodium hypochlorite Sodium hypochlorite NaOCl Bleaching
Sodium peroxide Sodium peroxide Na2O2 Bleaching
Sodium silicate Sodium silicate Na2SiO3 In waste paper deinking for wetting, peptization, ink dispersion, peroxide stabilization.
Sodium sulfide Sodium sulfide Na2S Active chemical in kraft/sulfate cooking liquor
Sodium thiosulfate Sodium thiosulfate Na2S2O3 Bleaching
Sodium tripolyphosphate Sodium tripolyphosphate Na5P3O10 Dispersant
Starch Wet and dry end additive Consists of glucose units linked together by oxygen bridges called glycosides
Sulfur Sulfur S To make HSO3f or bi-sulfite pulping
Surfactant Used in deinking. Used as debonders in fluff pulp manufacture.
Titania Titanium dioxide TiO2 Filler to increase the opacity and brightness of paper. Used in coating.
Anatase Titanium dioxide TiO2

Pulping

Chemical pulping involves dissolving lignin in order to extract the cellulose from the wood fiber. The different processes of chemical pulping include the Kraft process, which uses caustic soda and sodium sulfide and is the most common; alternatively, the use of sulfurous acid is known as the sulfite process, the neutral sulfite semichemical is treated as a third process separate from sulfite, and soda pulping which is the least ecologically hazardous utilizing sodium hydroxide or anthraquinone.[2]

Caustic soda is added to increase the pH in the pulping process of fibers. The higher pH of the paper-fiber solution causes the fibers to smoothen and swell, which is important for the grinding process of the fibers.

Processing pulp in a Hollander beater

Bleaching

In the production of white paper, the wood pulp is bleached to remove any color from the trace amounts of lignin that was not extracted in the chemical pulping process. There are three predominant methods of bleaching:

Sizing

Most paper types must have some water-resistance to maintain a specific writing quality and printability. Until 1980, the typical manner of adding this resistance was by using a rosin in combination with alum. When the paper industry started using chalk instead of china clay as filler, the paper chemistry had to switch to a neutral process. At several places AKD (alkyl ketene dimer) and ASA (alkenyl succinic anhydride) are used. Latest development is to use surface size,[5] which is applied using a size press. The advantage of surface sizing is that it does not interfere with the backend water chemistry.

Strengthening

Wet-strength

Wet-strength additives ensure that paper retains its strength when it gets wet. This is especially important in tissue paper. Chemicals typically used for this purpose include epichlorohydrin, melamine, urea formaldehyde and polyimines. These substances polymerize in the paper and result in the construction of a strengthening network.

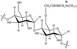
Cationic starch

To enhance the paper's strength, cationic starch is added to wet pulp in the manufacturing process. Starch has a similar chemical structure as the cellulose fibre of the pulp, and the surface of both the starch and fibre are negatively charged. By adding cationic (positive charged) starch, the fibre can bind with the starch and thus also increase the interconnections between the fibres. The positively charged portion of the starch is usually formed by quaternary ammonium cations. Quaternary salts that are used include 2.3-epoxy propyl trimethyl ammoniumchloride (EPTAC, also known as or Glytac Quab, GMAC™) and (3-chloro-2-hydroxypropyl) trimethyl ammonium chloride (CHPTAC, also known as Quat 188, Quab 188, Reagens™).

Dry-strength

Dry-strength additives, or dry-strengthening agents, are chemicals that improve paper strength normal conditions. These improve the paper's compression strength, bursting strength, tensile breaking strength, and delamination resistance. Typical chemicals used include cationic starch and polyacrylamide (PAM) derivatives. These substances work by binding fibers, often under the aid of aluminum ions in paper sheet.

Binders

Binders promote the binding of pigment particles between themselves and the coating layer of the paper.[6] Binders are spherical particles less than 1 μm in diameter. Common binders are styrene maleic anhydride copolymer or styrene-acrylate copolymer.[7] The surface chemical composition is differentiated by the adsorption of acrylic acid or an anionic surfactant, both of which are used for stabilization of the dispersion in water.[8] Co-binders, or thickeners, are generally water-soluble polymers that influence the paper's color viscosity, water retention, sizing, and gloss. Some common examples are carboxymethyl cellulose (CMC), cationic and anionic hydroxyethyl cellulose (EHEC), modified starch, and dextrin. Styrene butadiene latex, Styrene acrylic, dextrin, oxidized starch are used in coatings to bind the filler to the paper. Co-binders are natural products such as starch and CMC (Carboxymethyl cellulose), that are used along with the synthetic binders, like styrene acrylic or styrene butadiene. Co-binders are used to reduce the cost of the synthetic binder and improve the water retention and rheology of the coating.

Binder spheres coated with acrylic acid (a) and anionic surfactant (b).
The molecular structure of cationic starch. The repeating unit of starch is derived from glucose interconnected with glycosidic bonds.

Fillers

Mineral fillers are used to lower the consumption of more expensive binder material or to improve some properties of the paper.[9] China clay, calcium carbonate, titanium dioxide, and talc are common mineral fillers used in paper production.


Retention

A Retention agent is added to bind fillers to the paper. Fillers, such as calcium carbonate, usually have a weak surface charge. The retention agent is a polymer with high cationic, positively charged groups. An additional feature of a retention agent is to accelerate the dewatering in the wire section of the paper machine. Polyethyleneimine and polyacrylamide are examples of chemicals used in this process.

Coating

Pigments

Paper Coating
1) The paper or board
2) The first layer of coating to even out the surface
3) A second layer for an even smoother and whiter surface

Pigments that absorb in the yellow and red part of the visible spectrum can be added. As the dye absorbs light, the brightness of the paper will decrease, unlike the effect of an optical-brightening agent. To increase whiteness, a combination of pigments and an optical-brightening agent are often used. The most commonly used pigments are blue and violet dyes.

Optical-brightening agent

Optical brightener is used to make paper appear whiter. Optical-brightening agents use fluorescence to absorb invisible radiation from the ultraviolet part of the light spectrum and re-emit the radiation as light in the visible blue range. The optical-brightening agent thus generates blue light that is added to the reflected light. The additional blue light offsets the yellowish tinge that would otherwise exist in the reflected light characteristics. It thus increases the brightness of the material (when the illumination includes ultraviolet radiation).[10]

See also

References

  1. ^ Rudolf Patt et al. "Paper and Pulp" in Ullman Encyclopedia of Industrial Chemistry, 2005, Witch, Weinheim. doi:10.1002/14356007.a18_545.purba
  2. ^ Office of Air and Waste Management; Office of Air Quality Planning and Standards (August 1977). "10 Wood Processing". In Lahre, Thomas (ed.). Compilation of Air Pollutant Emission Factors (PDF) (3rd ed.). Research Triangle Park, North Carolina: U.S. Environmental Protection Agency. p. 419. ISBN 978-1-249-50100-8. Archived from the original (PDF) on 3 June 2016. Retrieved 7 September 2015 – via ARLIS.
  3. ^ "Performance chemicals for the pulp and paper industry" (PDF) (Report). Gothenburg, Sweden: EKA Chemicals/Akzo Nobel. 2011. p. 2. Archived from the original (PDF) on 14 May 2013. Retrieved 8 September 2015.
  4. ^ "7.3.9. Totally Chlorine-Free Bleaching of Papergrade Kraft Pulps". "Supplemental Technical Development Document for Effluent Limitations Guidelines and Standards for the Pulp, Paper, and Paperboard Category" (PDF) (Report). Washington, D.C.: U.S. Environmental Protection Agency. October 1997. pp. 7–26. EPA-821-R-97-011. Archived (PDF) from the original on 23 January 2022. Retrieved 22 May 2016.
  5. ^ "Cationic Surface Size". 22 May 2021. Archived from the original on 15 December 2022. Retrieved 30 June 2022.
  6. ^ Fardim, Pedro (2000). "Paper and Surface Chemistry Part 1- Fiber Surface and Wet End Chemistry". Institute of Quimica: 1–14.
  7. ^ Fardim, Pedro (2000). "Paper and Surface Chemistry Part 2- Coating and Printability". Institute of Quimica: 1–13.
  8. ^ Granier (1994). "Adhesion of latex particles on inorganic surfaces". TAPPI J. 77 (5): 419.
  9. ^ "Market Study: Fillers (3rd edition)". Ceresana. January 2014. Archived from the original on 21 September 2013. Retrieved 7 September 2015.
  10. ^ He Shi; Hongbin Liu; Yonghao Ni; Zhirun Yuan; Xuejun Zou; Yajun Zhou (2012). "Review: Use of Optical Brightening Agents (OBAs) in the Production of Paper Containing High-Yield Pulps". BioResources. 7 (2): 2582–2591. Archived from the original on 24 June 2016. Retrieved 22 May 2016.